
Go backward to 2 Independence Entailed by a Belief Networks
Go up to Top
Go forward to 4 Variable Elimination Algorithm (Multiply Connected)
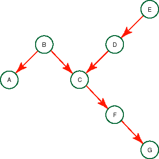
3 Variable Elimination Algorithm (Singly Connected)
In this question we trace through one instance of the variable
elimination algorithm for a singly connected belief net (i.e., if we
ignore the arc directions, there is at most one path between any two
nodes).
Consider the following belief network:
Assume that all of the variables are Boolean (i.e., have domain
{true,false}.
We will write variables in upper case, and use lower-case letters for
the corresponding propositions. In particular,
we will write A=true as a and A=false as ¬a, and
similarly for the other variables.
Suppose we have the following conditional probability tables:
P(a|b)=0.88
P(a|¬ b)=0.38
P(b) = 0.7
P(c|b& d)=0.93
P(c| b& ¬ d)=0.33
P(c|¬ b& d)=0.53
P(c|¬ b& ¬ d)=0.83
P(d|e)=0.04
P(d|¬ e)=0.84
P(e) = 0.91
P(f|c)=0.45
P(f|¬ c)=0.85
P(g|f)=0.26
P(g|¬ f)=0.96
We will draw the factors as tables. The above conditional probability
tables are all we need to build the factors. For example, the factor
representing P(E) can be written as:
|
E | Value |
|
true | 0.91 |
|
false | 0.09
|
The factor for P(D|E) can be written as
|
E | D | Value |
|
true | true | 0.04 |
|
true | false | 0.96 |
|
false | true | 0.84 |
|
false | false | 0.16
|
and similarly for the other factors.
In this question you are to consider the following elimination steps
in order (i.e., assume that the previous eliminations and observations
have been
carried out). We want to compute P(A|g). (Call your created factors
f1, f2, etc.)
- Suppose we first eliminate the variable E. Which factor(s) are
removed, and show the complete table for the factor that is
created. Show explicitly what numbers were multiplied and added to get
your answer.
- Suppose we were to eliminate D. What factor(s) are removed and
which factor is created. Give the table for the created
factor.
- Suppose we were to observe g (i.e., observe G=true).
What factor(s) are removed and what factor(s) are created?
- Suppose we now eliminate F. What factor(s) are removed, and what
factor is created?
- Suppose we now eliminate C. What factor(s) are removed, and what
factor is created?
- Suppose we now eliminate B. What factor(s) are removed, and what
factor is created?
- What is the posterior probability distribution of E? What is the
prior probability of the observations?
- For each factor created, can you give an interpretation
of what the function means?
Computational
Intelligence online
material, ©David Poole, Alan Mackworth and Randy Goebel, 1999
