Simulating Rigid Body Dynamics
Newton-Euler equations of motion
-
linear momentum
-
angular momentum
-
Note: only valid in the intertial frame!
-
equations of motion

Simulation of a single rigid body in a planar world
-
Newton-Euler equations
-
integration

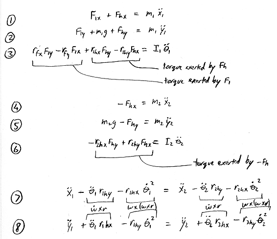
Simulation of two rigid bodies with a hinge in a planar world
Formulation using redundant coordinates (A)
-
introduce extra unknown
-
introduce extra equation
-
For the above equation we need an expression for the acceleration of a
point on a rotating rigid body
-
equations of motion
-
placing the equations in matrix form gives:

Correcting joint drift in redundant coordinates
numerical integration errors will accumulate over time
introduce a virtual corrective force to combat drift

Simulation of a 5-link chain
consider a 5-link chain in 2D or 3D
-
using redundant coordinates, we will need to introduce 5 unknown forces,
corresponding to the 5 hinges
-
five corresponding acceleration equations are also required to enforce
the attachment constraints at the hinges
-
this yields the following matrix structure:

Formulation using reduced coordinates (B)
-
consider simulating the same two-link configuration using reduced coordinates:
