CS322 Fall 1997
Assignment 5 -- Solution

Due: 1:30pm, Friday 10 October 1997.

Question 1

In this question you will look at backtracking versus arc consistency for solving CSP problems.

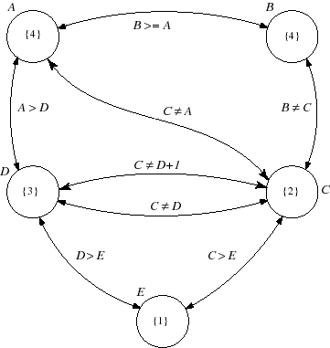
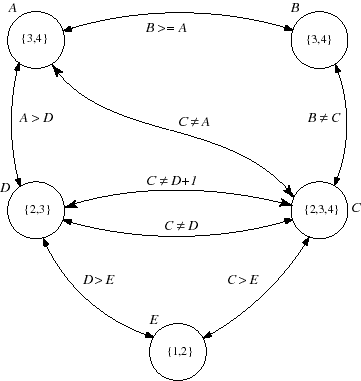
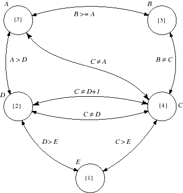
Consider a scheduling problem, where there are 5 activities to be scheduled in 4 time slots. Lets represent the activities by the variables A, B, C, D, and E, and suppose the domain of each variable is {1,2,3,4} and the constraints are: A>D, D>E, C \=A, C>E, C \=D, B>=A, B\=C, C\=D+1.

  1. [6 marks] Show how backtracking can be used to solve this problem. To do this you should draw the search tree generated to find all answers. Indicate clearly the valid schedule(s).

    Here is a solution tree based on the variable ordering C,D,A,B,E.

    Solution Tree

  2. [6 marks] Show how arc consistency can be used to solve this problem.

Question 2

In this question you will implement the graph searcher for finding the shortest video presentations for the previous two assigments.

For example, given the segment database (from Assignment 3),

% segment(SegId,Time,Topics) is true if segment SegId takes time Time
% and covers the topics in Topics.
segment(seg0,10,[welcome]).
segment(seg1,30,[skiing,views]).
segment(seg2,50,[welcome,computational_intelligence,robots]).
segment(seg3,40,[graphics,dragons]).
segment(seg4,50,[skiing,robots]).
you also need to assume that you have a list of all segments:
% all_segments(L) is true if L is the list of all segments.
all_segments([seg0,seg1,seg2,seg3,seg4]).
Suppose that a node is represented as vp(To_Cover,Segs) where Segs is a list of segments that must be in the presentation, and To_Cover is a list of topics that also must be covered, such that none of the segments in Segs covers any of the topics in To_Cover.

Write the neighbors relation, so that

ask neighbours(vp([welcome,robots],[]),Neighs).
has one answer (perhaps in the other order):
Answer: neighbours(vp([welcome,robots],[]),
                   [vp([],[seg2]),vp([robots],[seg0])]).
You also need to define the cost predicate, where the cost of an arc is the time of the segment added, and an is_goal predicate.

Show how this can be used with the hsearch program.

Solution

The following query should give the shortest presentation:

ask hsearch(shortest,[node(vp([welcome,skiing,robots],[]),[],0,0)],P).
Show that it works. (Note that asking "how" will show the steps of the search).