ARGUMENTATION - USEFUL INDEX- 11

Source: NEJM - carenini@cs.pitt.edu


SPECIFIC QUESTION: Is FFR a useful index of the functional severity of a coronary stenosis? In particular how well does it perform as compared with standard non-invasive tests?

PAPER CONCLUSIONS: In patients with coronary stenosis of moderate severity, FFR appears to be a useful index of the functional severity of the stenoses and the need for coronary revascularization. (N Engl J Med 1996;334:1703-8.)

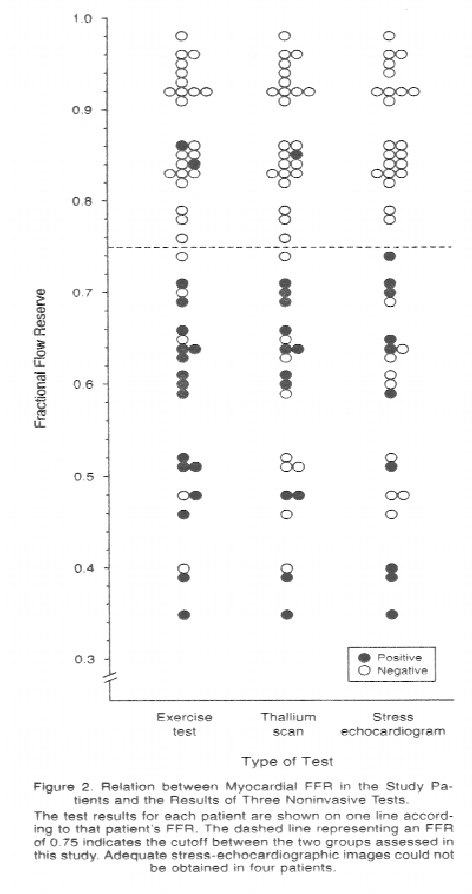
TEXT:"The relation between FFR and non-invasive tests is shown in fig. 2. In all 21 patients with an FFR below 0.75, signs of myocardial ischemia could be induced by at least one non-invasive text. All positive tests in this group were repeated after revascularization, and the result reverted to normal. In 21 of the 24 patients with an FFR of 0.75 or higher, all the non-invasive tests were negative. Of the remaining three patients, two had positive exercise electrocardiograms and one had a positive thallium scan. In these three patients the FFR method yielded false negative results, because the evidence of inducible ischemia was present despite an FFR of 0.75 or higher. The overall sensitivity, specificity, positive and negative predictive value and accuracy of FFR were 88, 100, 100, 88 and 93 percent , respectively."

The value of a test as a diagnostic aid depends on its sensitivity and specificity. Sensitivity is the measure of the percentage of individuals with the disease who have a positive test result (i.e., people with the disease who are correctly identified by the procedure), and specificity is the measure of the percentage of people without the disease who have a negative test result (i.e., healthy individuals correctly identified as free of the disease). If a test is 100 percent sensitive and the test result is negative, it can be said with certainty that the person does not have the disease, because there will be no false-negative results. If the test is not specific enough, however, it will yield a large number of false-positive results (positive test results for those who do not have the disease).

COMMENTS: